MySarkariNaukri

CSPHCL JE Electronics Previous Year Paper

CSPHCL Recruitment
https://www.mysarkarinaukri.com/en/cspdcl/

Total Pages: 15

Any Doubt? Just Ask Questions

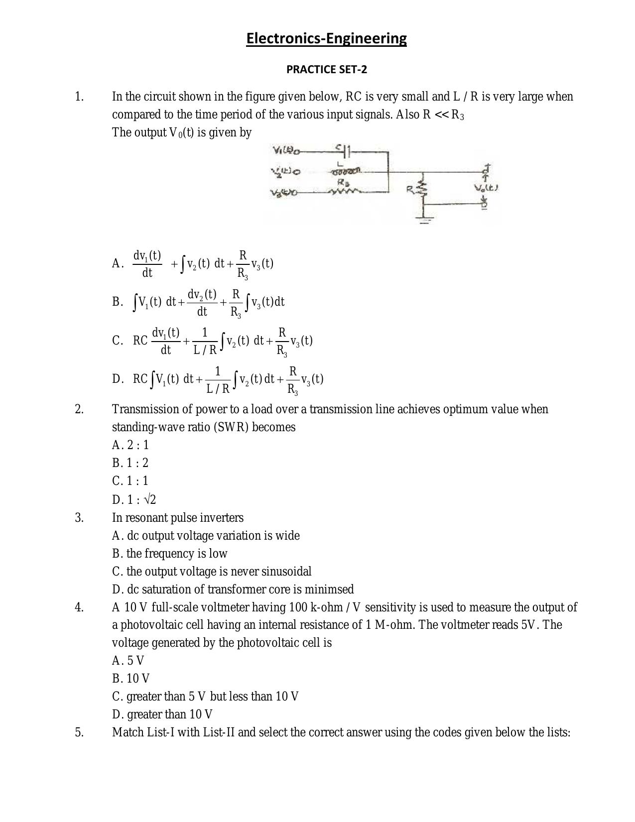
CSPHCL JE Electronics Previous Year Paper - Page 1
CSPHCL JE Electronics Previous Year Paper - Page 2
CSPHCL JE Electronics Previous Year Paper - Page 3
CSPHCL JE Electronics Previous Year Paper - Page 4
CSPHCL JE Electronics Previous Year Paper - Page 5
CSPHCL JE Electronics Previous Year Paper - Page 6
CSPHCL JE Electronics Previous Year Paper - Page 7
CSPHCL JE Electronics Previous Year Paper - Page 8
CSPHCL JE Electronics Previous Year Paper - Page 9
CSPHCL JE Electronics Previous Year Paper - Page 10
CSPHCL JE Electronics Previous Year Paper - Page 11
CSPHCL JE Electronics Previous Year Paper - Page 12
CSPHCL JE Electronics Previous Year Paper - Page 13
CSPHCL JE Electronics Previous Year Paper - Page 14
CSPHCL JE Electronics Previous Year Paper - Page 15